Atividade:
Para obter a equação de uma reta no espaço, você precisa de dois ingredientes: um ponto pelo qual a reta passa e a direção da reta. A direção da reta é obtida por meio do vetor diretor da reta, o qual é um vetor paralelo à reta considerada.
Fonte: FRAGELLI, R. R.; AMORIM, R. G. G.; RISPOLI, V. C. Geometria analítica e álgebra linear. Maringá: Unicesumar, 2018. Reimpresso em 2023. p. 143
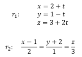
a) Calcule o ângulo entre as retas:
r₁: x = 2 + t, y = 1 − t, z = 3 + 2t
r₂: (x − 1)/2 = (y + 2)/1 = z/3

Resposta (a):
1. Vetores-direção:
v₁ = (1, −1, 2)
v₂ = (2, 1, 3)
2. Produto escalar:
v₁ · v₂ = 1·2 + (−1)·1 + 2·3 = 2 − 1 + 6 = 7
3. Normas:
||v₁|| = √(1² + (−1)² + 2²) = √6
||v₂|| = √(2² + 1² + 3²) = √14
4. Cosseno do ângulo:
cos θ = (v₁ · v₂) / (||v₁|| · ||v₂||) = 7 / (√6 · √14) = 7 / √84
5. Ângulo:
θ = arccos(7 / √84) ≈ 40°
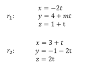
b) Calcule o valor de m para que as retas sejam ortogonais:
r₁: x = −2t, y = 4 + m t, z = 1 + t
r₂: x = 3 + t, y = −1 − 2t, z = 2t
Resposta (b):
1. Vetores-direção:
v₁ = (−2, m, 1)
v₂ = (1, −2, 2)

1. Vetores-direção:
v₁ = (−2, m, 1)
v₂ = (1, −2, 2)
2. Produto escalar:
v₁ · v₂ = (−2)·1 + m·(−2) + 1·2 = −2 − 2m + 2 = −2m
3. Condição de ortogonalidade: v₁ · v₂ = 0
−2m = 0 ⇒ m = 0
Portanto, o valor de m que torna as retas ortogonais é m = 0.